
El hipoclorito de sodio (NaOCl) y el ácido peracético (PAA) son desinfectantes ampliamente utilizados en superficies de diversos entornos y fueron recomendados por la OMS para el caso del Covid-19. En este artículo científico se investigó la eficacia virucida del ácido peracético e hipoclorito de sodio contra el SARS-CoV-2, para ver si realmente resultaban efectivos.
Presentación
“Efficacy of Peracetic Acid and Sodium Hypochlorite against SARS-CoV-2 on Contaminated Surfaces” (“Eficacia del ácido peracético y del hipoclorito de sodio contra el SARS-CoV-2 en superficies contaminadas”), es un artículo científico elaborado por Morris, J.N. y Esseili, M.A., y publicado el 26 de Julio de 2023 en la revista “Applied and Environmental Microbiology”, incluida en la “American Society for Microbiology”; en el que sus autores prueban y analizan la eficacia virucida del ácido peracético e hipoclorito de sodio contra el SARS-CoV-2 en superficies contaminadas.
El SARS-CoV-2 es un virus respiratorio de ARN monocatenario perteneciente a la familia Coronaviridae que puede transmitirse a través de objetos o superficies (vectores pasivos) como ropa, perillas de puertas, teléfonos, etc., los cuales pueden alojar agentes infecciosos incluso durante varios días. Por tanto, controlar la transmisión de este y otros virus a través de fómites puede ser útil para mejorar la salud pública.
El hipoclorito de sodio (NaOCl) y el ácido peracético (PAA) son desinfectantes ampliamente utilizados en superficies de diversos entornos, como hospitales e instalaciones de producción de alimentos. En el contexto de la pandemia de COVID-19, la Organización Mundial de la Salud (OMS) recomendó el uso de productos clorados, como el hipoclorito de sodio (NaOCl) a 1000ppm durante un mínimo de 1 minuto, para desinfectar superficies ambientales. Sin embargo, esta recomendación no se basó en estudios validados sobre el SARS-CoV-2. Asimismo, más de la mitad de los desinfectantes químicos, incluidos muchos productos de ácido peracético, que figuran en la Lista N de la EPA, fueron aprobados con base en su eficacia para eliminar patógenos resistentes, sin una validación adicional sobre el SARS-CoV-2.

Así pues, los objetivos de este estudio fueron investigar la eficacia virucida del ácido peracético e hipoclorito de sodio contra el SARS-CoV-2 mediante métodos estándar de la Sociedad Americana para Pruebas y Materiales (ASTM) y de forma comparativa entre ellos.
Métodos de trabajo
Los científicos probaron los dos desinfectantes a diversas concentraciones y tiempos de contacto. También investigaron dos discos de soporte con diferentes texturas para ellos: acero inoxidable (SS) y polietileno de alta densidad (HDPE), que suelen constituir superficies en diferentes entornos.
Los investigadores utilizaron los métodos estándar de la Sociedad Americana para Pruebas y Materiales (ASTM), tanto para la suspensión (E1052) como para los discos de soporte cuantitativos (E2197).
En el ensayo de suspensión, evaluaron la eficacia del ácido peracético y el hipoclorito de sodio contra el SARS-CoV-2 (5, 50 y 200ppm) en presencia y ausencia de suciedad tras 1 minuto de contacto.
En el ensayo con soportes, evaluaron los desinfectantes a concentraciones de 200, 400, 600 y 1000ppm durante 1 minuto y a 200 y 1000ppm durante 5 y 10 minutos.
Propagación viral y cultivo celular
La cepa de referencia estadounidense SARS-CoV-2 USA-WA 1/2020 (BEI resources NR-52281) se propagó en células de riñón de mono verde africano (Vero-E6 ATCC CRL-1586).
La manipulación del SARS-CoV-2 se realizó bajo estrictos protocolos de bioseguridad BSL3 en el laboratorio BSL3 del Centro de Seguridad Alimentaria.
Se utilizaron células confluentes al 90% de 1 o 2 días de cultivo para preparar los stocks virales con una multiplicidad de infección de 0,01.
El medio de infección consistió en medio Eagle modificado de Dulbecco (DMEM) suplementado con un 2% de suero fetal bovino inactivado por calor y un 1% de cóctel antibiótico-antimicótico.
La recolección del virus se realizó 72 horas después de la infección. Las células infectadas se recolectaron de los matraces y se centrifugaron a 450 × g durante 5 min a 4°C para sedimentar los restos celulares. Los sobrenadantes que contenían el virus se ultrafiltraron inmediatamente después de la recolección mediante dispositivos de ultrafiltración Amicon Ultra-15 de 100 kDa para concentrar los virus 10 veces, a la vez que se semipurificaron de los lisados del cultivo celular.
Se tituló una alícuota del virus. El título viral inicial fue de aproximadamente 7 log10 TCID50/mL, mientras que el título viral tras la ultrafiltración fue de aproximadamente 8 log10 TCID50/mL.

Prueba de desinfectantes ácido peracético e hipoclorito de sodio contra el SARS-CoV-2 según el protocolo ASTM E1052 en un ensayo de suspensión
Las soluciones de hipoclorito de sodio se prepararon diluyendo lejía comercial (7,5 % NaOCl, The Chlorox Company) en agua estéril, utilizando lejía comercial nueva (sin abrir) para cada experimento. El cloro libre disponible se midió con papel indicador de cloro Hydrion (Micro essential laboratory, Nueva York, EE. UU.).
Por su parte, las soluciones de ácido peracético se prepararon diluyendo ácido peracético concentrado (17% PAA con 26% H₂O₂, Peroxychem LLC, EE. UU.) en agua estéril.
Las concentraciones de desinfectante evaluadas en el ensayo en suspensión fueron de 5, 50 y 200ppm, con un tiempo de contacto de 1 minuto, y se siguió el protocolo ASTM E1052 para el ensayo virucida en suspensión.
El SARS-CoV-2 ultrafiltrado se diluyó 1:10 en agua estéril antes de su uso en el experimento o de su adición a la carga de suelo. El título viral tras la dilución en agua estéril fue, como se esperaba, de aproximadamente 7 log, específicamente 6,8 ± 0,2 log TCID50/mL.
La carga viral del suelo, en volúmenes de 500μL, se compuso de una mezcla tripartita de 35μL de triptona, 25μL de albúmina de suero bovino, 100μL de mucina de glándulas submaxilares bovinas y, finalmente, 340μL de virus. Las tres soluciones se esterilizaron mediante filtración por membrana utilizando filtros de nitrocelulosa de 0,22μm (VWR).
La suspensión viral y los desinfectantes se combinaron en una proporción 1:10 (vol/vol) y se mantuvieron durante 1 min a temperatura ambiente antes de neutralizarlos con un volumen igual de tiosulfato de sodio 0,025M para hipoclorito de sodio, o caldo neutralizante para ácido peracético.
Se incluyeron controles para verificar la neutralización (se combinaron el desinfectante y el neutralizador, se mantuvieron durante 1 min y luego se añadió el virus) y para evaluar el efecto del neutralizador sobre el virus (solo virus y neutralizador combinados).
También incluyeron controles de citotoxicidad para los desinfectantes, el neutralizador y la combinación de ambos. En cada experimento se incluyó un control negativo (sin virus) y un control positivo (solo virus).
Todos los experimentos se realizaron a temperatura ambiente (aproximadamente 25°C).

Pruebas de ácido peracético e hipoclorito de sodio contra el SARS-CoV-2 siguiendo el método de prueba cuantitativa de discos portadores ASTM E2197
En este caso, las superficies utilizadas fueron discos de acero inoxidable (tipo 304, acabado n° 4, Washington Specialty Metal, Athens, GA, EE. UU.) y polietileno de alta densidad (tablas de cortar, Walmart, EE. UU.) cortado en discos de aproximadamente 1,5cm de diámetro para que cupieran dentro de tubos Falcon de 50ml.
Los discos de acero inoxidable y polietileno de alta densidad se colocaron en los pocillos de placas de 6 pocillos y se inocularon con el virus. Los virus ultrafiltrados se diluyeron directamente en la carga de suelo y se inocularon 10μl de la suspensión viral resultante en los discos. Los inóculos virales se dejaron secar a temperatura ambiente durante 45 minutos dentro de una cabina de bioseguridad.
Se prepararon desinfectantes a concentraciones de 200, 400, 600 y 1000ppm en agua dura de 300ppm. Se utilizaron dos soluciones para preparar el agua dura. La primera solución consistió en una disolución de 0,98M de MgCl₂ y anhidros de CaCl₂ en agua desionizada hervida, mientras que la segunda consistió en 0,66M de NaHCO₃. Ambas soluciones se esterilizaron mediante filtración por membrana utilizando un filtro de nitrocelulosa de 0,22μm. Por cada 100ppm de agua dura, se añadieron 1ml de la primera solución y 4ml de la segunda a 995ml de agua estéril.
La preparación de NaOCl en agua dura modificó el pH de la solución final de hipoclorito de sodio, por lo que el pH se ajustó a 6-6,5 con HCl 1M. En el caso del ácido peracético, el agua dura no modificó el pH, el cual se mantuvo entre 4,3 y 4,5.
Se añadieron 50μL de desinfectantes a los discos inoculados con el virus. Inicialmente, el tiempo de contacto se fijó en 1 min. Sin embargo, también se realizaron otros experimentos con dos concentraciones de desinfectantes (200 y 1000 ppm) y un tiempo de contacto mayor, de 5 y 10 min.
Los desinfectantes se neutralizaron con 50μL de tiosulfato de sodio 0,025M para el hipoclorito de sodio, o con caldo neutralizante Dey/Engley para el ácido peracético.
A continuación, los discos se transfirieron inmediatamente a tubos Falcon de 50mL que contenían 900μL de medio de cultivo celular y se agitaron en vórtex a velocidad media durante 1 min. Los eluatos se transfirieron a tubos de 1,5mL y se analizaron inmediatamente mediante el ensayo TCID50.
Se incluyeron controles para verificar la neutralización (se combinaron el desinfectante y el neutralizador, se dejaron reposar durante 1 min y luego se añadió el virus) y para evaluar el efecto del neutralizador sobre el virus (solo se combinaron el virus y el neutralizador). Y también se incluyeron controles de citotoxicidad para los desinfectantes, el neutralizador y la combinación de ambos.
En cada experimento se incluyó un control negativo (sin virus) y un control positivo (solo virus).
Todos los experimentos se realizaron a temperatura ambiente (aproximadamente 25°C).
Tras su uso, los discos se esterilizaron mediante pulverización con Micro-Chem Plus al 10% y se autoclavaron a 121°C durante 120 min para inactivar el SARS-CoV-2. Tras la esterilización en autoclave, los discos se rociaron con etanol al 70% y se enjuagaron dos veces con agua desionizada estéril para eliminar los residuos de Micro-Chem antes de esterilizarlos por segunda vez en autoclave y reutilizarlos.

Cuantificación de la infectividad viral mediante el ensayo TCID50
La cuantificación de los títulos virales se realizó mediante el ensayo de dosis infecciosa en cultivo de tejidos al 50% (TCID50). Brevemente, se añadieron muestras diluidas en serie 10 veces en medio de infección a cuatro pocillos con células Vero-E6 de 1 a 2 días de edad, en una placa de cultivo de tejidos de 96 pocillos.
Tras 4-5 días de incubación, se observó el efecto citopático (ECP) en las células. El título se determinó a partir de las diluciones en las que el 50% de los pocillos mostraron ECP y se calculó según el método de Reed y Muench.
En cada experimento se incluyeron controles negativos y positivos. Ni los neutralizadores ni el desinfectante combinado con neutralizadores tuvieron un efecto significativo en los títulos de SARS-CoV-2. Sin embargo, el ácido peracético y el hipoclorito de sodio presentaron un efecto citotóxico limitado e infrecuente en células Vero-E6 a concentraciones no diluidas. Por lo tanto, el límite de detección en el ensayo TCID50 se estableció en 1,8 log10 TCID50/mL cuando se observó citotoxicidad.
En los ensayos en suspensión, las reducciones máximas alcanzables con hipoclorito de sodio y ácido peracético fueron de 5,2 y 3,75 log, respectivamente.
En los ensayos de desinfección de superficies, las reducciones máximas alcanzables en acero inoxidable (SS) y polietileno de alta densidad (HDPE) con hipoclorito de sodio fueron de 4,8, y con ácido peracético de 5 log TCID50/mL.

Análisis estadísticos
Todos los experimentos se realizaron de forma independiente tres veces, con, al menos, tres réplicas técnicas.
El conjunto de datos completo se transformó a logaritmo en base 10. Se calcularon las medias y los errores estándar a partir de todas las réplicas.
Las reducciones logarítmicas (log10) se calcularon restando los títulos virales de todas las réplicas técnicas para un tratamiento específico del título viral promedio del control (sin tratamiento).
Emplearon el software GraphPad Prism versión 5 para todos los análisis estadísticos. Los datos se expresaron como media ± error estándar. Se utilizó un análisis de varianza (ANOVA) de dos vías seguido de la prueba post hoc de Bonferroni para comparar las medias.
El análisis incluyó la presencia o ausencia de carga de suciedad, diferentes concentraciones de desinfectantes, tipo de superficie y tiempo de contacto.
Las diferencias entre las medias se consideraron significativas cuando el valor de p fue inferior a 0,05 y se indicaron en las figuras y tablas mediante letras diferentes, asteriscos o números en negrita.

Resultados del estudio de eficacia del ácido peracético e hipoclorito de sodio contra el SARS-CoV-2 en superficies contaminadas
La EPA de EE. UU. especifica un criterio de eficacia de reducción ≥ 3 log para que un desinfectante se considere virucida eficaz en superficies duras. El ácido peracético e hipoclorito de sodio contra el SARS-CoV-2 resultaron efectivos (reducción > 3 log en la carga viral infecciosa) a 50ppm en ausencia de carga de suelo. Sin embargo, en presencia de carga de suelo, se requirieron 200ppm para lograr una reducción > 3 log en la infectividad viral.
En contraste, el ácido peracético y el hipoclorito de sodio a 200ppm con un tiempo de contacto de 1 minuto no fueron efectivos contra el SARS-CoV-2 en superficies de acero inoxidable (SS) ni de polietileno de alta densidad (HDPE). No obstante, el ácido peracético a 200ppm durante 10 minutos sí fue efectivo contra el SARS-CoV-2 en ambas superficies, mientras que el hipoclorito de sodio requirió 1000ppm durante 10 minutos para ser efectivo.
Por tanto, la recomendación de la OMS de un minuto de contacto con 1000ppm de hipoclorito de sodio no es eficaz contra el SARS-CoV-2 en superficies. Por otro lado, el ácido peracético es eficaz contra el SARS-CoV-2 en superficies y puede utilizarse como una alternativa más segura y respetuosa con el medio ambiente que el hipoclorito de sodio a menor concentración.
Efecto del ácido peracético e hipoclorito de sodio sobre el SARS-CoV-2 en suspensión tras 1 minuto de contacto
Cuando se incubó hipoclorito de sodio a 5 y 50ppm con SARS-CoV-2 durante 1 minuto, la infectividad del virus mostró una reducción promedio de 2,2 y 5,1 log, respectivamente. Sin embargo, la presencia de partículas de tierra afectó significativamente el efecto del hipoclorito de sodio sobre el SARS-CoV-2, mostrando una reducción de 0 y 1 log en la infectividad de este. Además, en presencia de partículas de tierra, el aumento de la concentración de NaOCl de 5 a 200ppm incrementó significativamente la inactivación del virus a 5,2 log. Asimismo, cabe decir que a 200ppm de NaOCl, la carga de suelo no afectó significativamente la actividad virucida del hipoclorito de sodio en comparación con la ausencia de carga de suelo, como puede verse en la siguiente Figura 1 A.
Por su parte, el ácido peracético redujo significativamente la infectividad del SARS-CoV-2 en 3,1 log a 50ppm, sin embargo, la presencia de carga de suelo redujo significativamente esta inactivación a 1,3 log. En presencia de carga de suelo, 200ppm de PAA mostraron una reducción de 3,7 log en la infectividad del SARS-CoV-2.
Al igual que los resultados del hipoclorito de sodio, a 200ppm de ácido peracético, la carga de suelo no afectó significativamente la actividad virucida, en comparación con la ausencia de carga de suelo, como puede verse en la siguiente Figura 1 B.

Efecto del ácido peracético e hipoclorito de sodio contra el SARS-CoV-2 en superficies contaminadas tras 1 minuto de contacto
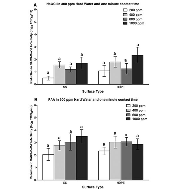
Las concentraciones de hipoclorito de sodio de 200, 400 y 600ppm redujeron la infectividad del SARS-CoV-2 en menos de 2 logaritmos tanto en acero inoxidable (SS) como en polietileno de alta densidad (HDPE). Sin embargo, con 1000ppm de hipoclorito de sodio, la reducción logarítmica de la infectividad del SARS-CoV-2 aumentó a aproximadamente 1,7 y 2,3 logaritmos en SS y HDPE, respectivamente, aunque este aumento no fue estadísticamente significativo en comparación con las demás concentraciones analizadas, lo cual puede observarse en la siguiente Figura 2 A.
En contraste, el ácido peracético a 200ppm produjo una reducción de 2 y 2,3 log en la infectividad del SARS-CoV-2 en acero inoxidable (SS) y HDPE, respectivamente. Al aumentar la concentración a 400 y 600ppm, la reducción logarítmica aumentó aún más, hasta al menos 3 log, pero este incremento no fue estadísticamente significativo en comparación con la concentración de 200ppm. La aplicación de ácido peracético a 1000ppm redujo la infectividad del SARS-CoV-2 en 3,5 y 2,9 logaritmos en acero inoxidable (SS) y polietileno de alta densidad (HDPE), respectivamente, sin embargo, el aumento no fue estadísticamente significativo en comparación con la aplicación de PAA a 200ppm en ninguna de las superficies, como se muestra en la siguiente Figura 2B.
Asimismo, al comparar los desinfectantes, se observó que el ácido peracético tuvo un desempeño significativamente mejor a concentraciones de 600 y 1000ppm en acero inoxidable (SS) en comparación con el hipoclorito de sodio. Sin embargo, en HDPE, solo el ácido peracético a 600ppm mostró una reducción significativamente mayor en la infectividad del SARS-CoV-2, en comparación con el hipoclorito de sodio a 600ppm.

Efecto del hipoclorito de sodio en superficies contaminadas con SARS-CoV-2 con tiempos de contacto de 5 y 10 minutos
Dado que el aumento de la concentración del desinfectante de 200 a 1000ppm con un tiempo de contacto de 1 minuto no mostró un incremento significativo en la reducción logarítmica de la carga viral de SARS-CoV-2, probaron a aumentar el tiempo de contacto a 5 y 10 minutos.
En superficies de acero inoxidable (SS), el hipoclorito de sodio a 200ppm y con un tiempo de contacto de 5 minutos, produjo una reducción de 1,2 logaritmos en la infectividad del SARS-CoV-2. Esta última no varió significativamente al extender el tiempo de contacto a 10 minutos (reducción de 1,5 logaritmos).
A una concentración de 1000ppm, el hipoclorito de sodio produjo una reducción de 3 logaritmos en la carga viral de SARS-CoV-2 tras 5 minutos de contacto, resultado que no varió significativamente (3,5 logaritmos) al extender el tiempo de contacto a 10 minutos.
Por lo tanto, en acero inoxidable, se requirieron 1000ppm de hipoclorito de sodio y 10 minutos de contacto para inactivar el SARS-CoV-2 en más de 3 logaritmos (específicamente 3,5 ± 0,3 logaritmos).
En HDPE, el hipoclorito de sodio a 200ppm durante un tiempo de contacto de 5 min redujo la infectividad del SARS-CoV-2 en aproximadamente 2 log, valor que no varió significativamente (2,3 log) al extender el tiempo de contacto a 10 min. A 1000ppm, el NaOCl redujo la infectividad del SARS-CoV-2 en 3 log con un tiempo de contacto de 5 min, valor que tampoco varió significativamente (3,3 log) al extender el tiempo de contacto a 10 min. Por lo tanto, en HDPE, se requirieron 1000ppm de hipoclorito de sodio y 10 min de contacto para inactivar el SARS-CoV-2 en 3 log (específicamente > 3,4 ± 0,4 log).
Asimismo, al comparar las superficies, el efecto del hipoclorito de sodio sobre el SARS-CoV-2 no mostró diferencias significativas entre el acero inoxidable (SS) y el polietileno de alta densidad (HDPE), ni a 200ppm ni a 1000ppm.

Efecto del ácido peracético en superficies contaminadas con SARS-CoV-2 con tiempos de contacto de 5 y 10 minutos
En SS, el ácido peracético a 200ppm durante un tiempo de contacto de 5 minutos produjo una reducción de 2,4 log en la infectividad del SARS-CoV-2, la cual aumentó significativamente a 3,8 log al extender el tiempo de contacto a 10 minutos. A 1000ppm, el ácido peracético produjo una reducción de 3,9 log en la infectividad del SARS-CoV-2 con un tiempo de contacto de 5 minutos, la cual también aumentó significativamente a 5 log al extender el tiempo de contacto a 10 minutos. Por lo tanto, en acero inoxidable, se puede utilizar una concentración de 1000ppm y un tiempo de contacto de 5 min (3,9 ± 0,3 log) o una concentración de 200ppm y un tiempo de contacto de 10 min (3,8 ± 0,4 log) para inactivar el SARS-CoV-2 en > 3 log.
En HDPE, el ácido peracético a 200ppm durante un tiempo de contacto de 5 min redujo la infectividad del SARS-CoV-2 en 2,1 log, efecto que aumentó significativamente a 3,3 log al extender el tiempo de contacto a 10 min. A 1000ppm, el ácido peracético redujo la infectividad del SARS-CoV-2 en 2,5 log con un tiempo de contacto de 5 min, efecto que no varió significativamente (2,7 log) al extender el tiempo de contacto a 10 min. Por lo tanto, en HDPE, una concentración de 200ppm de PAA y un tiempo de contacto de 10 min (3,3 ± 0,2 log) pueden inactivar el SARS-CoV-2 en 3 log.

Al comparar las superficies entre sí dentro de un tiempo de contacto específico, la acción del ácido peracético sobre el SARS-CoV-2 no mostró diferencias significativas entre el acero inoxidable (SS) y el polietileno de alta densidad (HDPE) a 200ppm para los tiempos de contacto de 5 y 10 minutos. Sin embargo, a 1000ppm mostró una inactivación significativamente mayor del virus en SS (5 log), en comparación con el HDPE para ambos tiempos de contacto (5 y 10 minutos), lo cual se indica en la siguiente Tabla.
Y al comparar los desinfectantes entre sí dentro de un mismo tipo de superficie, se observó que el ácido peracético, a concentraciones de 200 y 1000ppm en SS, tuvo un desempeño significativamente mejor a los 5 y 10 minutos de contacto, en comparación con el hipoclorito de sodio. Sin embargo, en HDPE, tanto el ácido peracético a 200 o a 1000ppm, a los 5 y 10 minutos de contacto, mostró reducciones logarítmicas similares en la infectividad del SARS-CoV-2, al igual que el hipoclorito de sodio; lo cual se muestra en la siguiente Tabla.

Discusión y Conclusión sobre la eficacia del ácido peracético e hipoclorito de sodio contra el SARS-CoV-2 en superficies contaminadas
El ácido peracético se descompone en subproductos seguros en comparación con el hipoclorito de sodio (NaOCl), pero no se había evaluado exhaustivamente su eficacia contra el SARS-CoV-2. Los datos de este estudio mostraron que la concentración de PAA de 50ppm, pero no la de 200ppm, se vio afectada por la carga de suelo utilizada en los ensayos de suspensión. Si bien se considera que el PAA es eficaz en presencia de materia orgánica, esto puede depender de la concentración de PAA y del porcentaje de carga de suelo. No obstante, los resultados obtenidos indicaron que, con o sin carga de suciedad, el PAA fue eficaz contra el SARS-CoV-2 a 200ppm tras 1 min de contacto al probarse en suspensión. Además, el PAA puede utilizarse en diferentes superficies, como acero inoxidable (SS) y HDPE, a 200ppm con un tiempo de contacto de 10 min en presencia de carga de suciedad. Sin embargo, para el SS, el PAA puede utilizarse a una concentración mínima de 200ppm durante 5 minutos de contacto o a 600ppm durante 1 minuto.
Por otra parte, los resultados del estudio mostraron que el hipoclorito de sodio (NaOCl) fue eficaz contra el SARS-CoV-2 en superficies a una concentración mínima de 1000ppm; sin embargo, un tiempo de contacto de 1 minuto no es eficaz (reducción <3 log) como recomienda la OMS.
En la literatura, existen varios estudios que utilizaron pruebas de suspensión para investigar el efecto virucida del hipoclorito de sodio contra el SARS-CoV-2. Estos estudios reportaron una amplia gama de resultados para lograr una reducción >3 log en el SARS-CoV-2. Los datos de este trabajo indicaron que, en ausencia de carga de suelo, el NaOCl a 50ppm durante 1 min produjo una reducción de 5 log.
Se sabe que la eficacia del hipoclorito de sodio disminuye en presencia de materia orgánica como saliva y sangre. Este fenómeno probablemente se deba a una reacción química entre la materia orgánica y el desinfectante, la cual requiere una alta demanda de oxidantes debido al consumo del desinfectante activo por las proteínas de la matriz orgánica. Esto, a su vez, reduce la concentración de moléculas de desinfectante disponibles para reaccionar e inactivar las partículas virales. En este sentido, la carga de suciedad también puede actuar como barrera, permitiendo que la partícula viral se incruste en la matriz orgánica, protegiéndola así de la exposición al desinfectante. La inclusión de materia orgánica es importante al determinar la eficacia virucida, ya que el SARS-CoV-2 se excreta frecuentemente en gotitas respiratorias que contienen materia orgánica. Por lo tanto, es importante incluir la carga de suciedad al evaluar el efecto de un desinfectante contra los microorganismos.
Estudios que investigaron el efecto del NaOCl contra el SARS-CoV-2 en presencia de carga de suelo reportaron que se necesitaban 80ppm durante 10s, 160ppm durante 30 min, 500ppm durante 5 min y 1400ppm durante 30s, para lograr una reducción > 3 log en la infectividad del SARS-CoV-2. Esta amplia variación en los resultados se debe, en parte, a la inclusión de cargas de suelo con diferentes composiciones. Las cargas de suelo utilizadas en estos estudios variaron desde 3g/L de BSA (es decir, 0,3% de BSA) mezcladas con 3mg/L de eritrocitos, 3% de BSA, 5% de FBS, hasta 0,5% a 1% de FBS. Ninguno de estos estudios utilizó la carga de suelo tripartita estandarizada ASTM E1053/E2197, compuesta por una mezcla de 5% de BSA, 0,4% de mucina y 5% de triptona (o extracto de levadura), la cual es más relevante que la de FBS y fue empleada en este estudio. En general, los resultados indicaron aquí que, en presencia de una carga de suelo, el NaOCl a 200ppm durante 1 minuto produjo una reducción de 5 logaritmos. Esta última es una concentración y/o tiempo de contacto mucho menor que los 160ppm durante 30 min, 500ppm durante 5 min y 1400ppm durante 30s, reportados anteriormente, pero mayor que 80ppm durante 10s.

Al comparar los desinfectantes entre los ensayos en suspensión y en superficie, se observó una menor eficacia desinfectante en superficies. El NaOCl a 200ppm y un tiempo de contacto de 1 min produjo una reducción de 5 log en suspensión, pero una reducción inferior a 1 log al aplicarse en superficies. Para el PAA a 200ppm y un tiempo de contacto de 1 min, se observó una reducción de 4 log en suspensión, en comparación con una reducción de 2 log en el título viral al aplicarse en superficies. Estas observaciones concuerdan con un estudio previo que comparó el NaOCl y el PAA contra el VHA mediante ensayos tanto en suspensión como en superficie. Otros estudios también observaron una menor eficacia de los desinfectantes utilizados contra virus al ser probados en superficies. La menor eficacia del ácido peracético e hipoclorito de sodio contra el SARS-CoV-2 podría deberse a la incrustación del virus en la materia orgánica, lo que lo protege del contacto con el desinfectante, así como a la adsorción de las partículas virales a la superficie. Ambos escenarios dificultarían la inactivación del virus en superficies en comparación con la suspensión en una matriz líquida.
Si bien las pruebas de suspensión pueden ser valiosas para realizar investigaciones preliminares sobre desinfectantes y su desempeño en presencia de suciedad, podrían sobreestimar la capacidad virucida del desinfectante. Evaluar la eficacia de los desinfectantes en superficies con suciedad es más relevante, ya que representa escenarios reales y proporciona una estimación conservadora de la verdadera actividad virucida del desinfectante.
Asimismo, las directrices para la aplicación de desinfectantes varían según el propósito, el entorno, el microorganismo objetivo y la presencia de materia orgánica, entre otros factores. En entornos clínicos, las recomendaciones para la solución de NaOCl generalmente oscilan entre 500 y 1000ppm y pueden aumentar hasta 10000ppm. La OMS recomendó que, al usar NaOCl para desinfectar superficies en el contexto del COVID-19, se requería una concentración de 1000ppm durante al menos 1 minuto. Sin embargo, estos resultados mostraron que el NaOCl, al usarse para desinfectar el SARS-CoV-2 en acero inoxidable o HDPE contaminados, es eficaz a 1000ppm durante 10 minutos.
Y en cuanto al ácido peracético (PAA), los CDC sugirieron que este desinfectante es eficaz para inactivar patógenos a concentraciones de 12 a 2250ppm en 15 minutos. Según las directrices de la FDA y el USDA para el ácido peracético en la industria alimentaria, se recomendó una concentración de 80ppm para el agua de lavado de productos agrícolas y de 200ppm en superficies en contacto con alimentos. Sin embargo, no se evaluaron recomendaciones específicas contra el SARS-CoV-2. Los resultados de este trabajo muestran que el PAA, al utilizarse para desinfectar superficies contaminadas de acero inoxidable (SS) o polietileno de alta densidad (HDPE) con SARS-CoV-2, puede emplearse a una concentración tan baja como 200ppm durante 10 minutos (reducción > 3 log). En conclusión, el ácido peracético (PAA) resultó ser igual o superior al hipoclorito de sodio (NaOCl) para diversos tipos de superficies y puede utilizarse a concentraciones menores que el NaOCl para tiempos de contacto similares.
Fuente de este artículo
Este artículo fue publicado originalmente en la revista “Applied and Environmental Microbiology” bajo la referencia: Morris JN, Esseili MA. 2023. Efficacy of Peracetic Acid and Sodium Hypochlorite against SARS-CoV-2 on Contaminated Surfaces. Appl Environ Microbiol 89:e00622-23. https://doi.org/10.1128/aem.00622-23; estando disponible con acceso libre en la web de la “American Society for Microbiology”.

